Министерство общего и профессионального образования
Российской Федерации
Сибирская аэрокосмическая академия
Методическое руководство к расчетному заданию
“РАСЧЕТ АЭРОДИНАМИЧЕСКИХ ХАРАКТЕРИСТИК САМОЛЕТОВ”
для студентов специальности 1303
заочной формы обучения
Красноярск, 2014 г.
УДК 629.7.015(075.3): 629.735.015.3(076.5)
Аэромеханика: Методическое руководство к расчетному заданию “Расчет аэродинамических характеристик самолетов” для студентов заочной формы обучения специальности 1303.
Методическое руководство предназначено помочь студентам изучить курс “Аэромеханика” и самостоятельно решить задачу определения аэродинамических характеристик самолета.
В методическом руководстве предлагается приближенный путь определения аэродинамических характеристик самолета, позволяющий учесть многочисленные факторы, влияющие на его аэродинамическую эффективность на крейсерском режиме, при взлете и посадке. Методическое руководство содержат указания, а также необходимые справочные материалы для построения поляр самолета. / Сост.: Фаворский В.С.– Красноярск: САА, 2014. – с.
Методическое руководство утверждено на заседании методического семинара факультета гражданской авиации 12 февраля 2014 г.
Рецензент Никушкин Н.В.
Печатается по решению Редакционно-издательского совета академии
Сибирская аэрокосмическая академия, 2014 г.
1. Объем работы и последовательность ее выполнения 5
2. РАСЧЕТ ВСПОМОГАТЕЛЬНОЙ ПОЛЯРЫ
при убранных шасси и средствах механизации 9
2.1. Определение посадочной скорости 9
2.2. Построение зависимости Cyа = f() 10
2.3. Определение коэффициента лобового
сопротивления самолета при Сyа= 0 12
2.4. Расчет зависимости Cxа = f() 17
2.5. Построение вспомогательной поляры 19
3. РАСЧЕТ ПОЛЯР ДЛЯ ВЗЛЕТНО-ПОСАДОЧНЫХ РЕЖИМОВ 19
3.1. Посадочная поляра без учета влияния земли. 19
3.2. Расчет посадочной поляры с учетом влияния земли 27
3.3. Расчет взлетной поляры 28
4. РАСЧЕТ ПОЛЯР ДЛЯ КРЕЙСЕРСКИХ РЕЖИМОВ ПОЛЕТА 30
4.1. Оценка крейсерских режимов полета по числам М 30
4.2. Расчет крейсерской поляры дозвукового самолета 33
4.3. Расчет и построение крейсерских поляр
трансзвукового самолета 36
4.4. Построение поляр самолета на закритических числах М 40
4.5. Построение крейсерских поляр 43
- ВВЕДЕНИЕ
- 1.Объем работы и последовательность ее выполнения
- Курсовая работа: Расчёт аэродинамических характеристик самолёта T-30 KATANA
- Определение геометрических размеров крыла
- Выбор профиля крыла
- Определение площади крыла
- Выбор удлинения крыла
- Выбор других параметров, определяющих форму крыла в плане
- Выбор места расположения и геометрических размеров элеронов
ВВЕДЕНИЕ
Задание на курсовую работу, включающее в себя схему самолета и основные исходные данные, студент получает как раздаточный материал у преподавателя.
Аэромеханика является основой и базой для изучения динамики полета, и в соответствии с этим результаты расчетного задания являются исходным материалом к выполнению расчетного задания по динамике полета, поэтому все расчеты, чертежи и графики должны быть выполнены студентом с максимально возможной тщательностью. Студенту следует иметь в виду, что методика и расчетные формулы являются приближенными, в связи с чем могут быть отличия расчетных параметров от характеристик реальных самолетов, поэтому он должен критически оценивать результаты, а для достижения большей достоверности может использовать пособия по практической аэродинамике конкретных гражданских самолетов. После проверки выполненной работы преподавателем производится ее защита.
На защите расчетного задания студент должен:
- показать знание физического смысла построенных в результате расчетов графиков зависимостей между аэродинамическими параметрами;
- уметь хорошо ориентироваться в расчетах параметров;
- понимать закономерности влияния рассчитываемых параметров на эксплуатационные характеристики самолета.
Курсовая работа оформляется в виде расчетно-пояснительной записки и содержит расчеты, пояснения и обоснования выбора или расчета требуемых параметров, графики, чертеж аэродинамической схемы самолета на листе формата А1. Графики зависимостей включаются как в пояснительную записку, так и выносятся на отдельный лист формата А1. Записка оформляется на листах стандартного размера, графики выполняются на миллиметровой бумаге. При оформлении записки необходимо придерживаться ЕСКД, используя систему единиц СИ.
1.Объем работы и последовательность ее выполнения
— аэродинамическая схема самолета;
— основные геометрические характеристики самолета;
Часть исходных данных приведена в задании на курсовую работу, остальная часть должна быть определена непосредственным измерением по чертежу аэродинамической схемы самолета. Недостающие данные выбираются в соответствии с рекомендациями, изложенными в методическом пособии.
Для облегчения усвоения методики расчета, экономии расчетного времени рекомендуется определенная последовательность выполнения работы.
1. Подготовка исходных данных
а) вычерчивание на отдельным листе трех проекций схемы самолета;
б) определение основных геометрических характеристик самолета.
а) вспомогательной поляры при убранных шасси и средствах механизации;
б) поляры, отвечающей посадочной конфигурации самолета без учета влияния земли;
в) поляры при посадочной конфигурации с учетом влияния земли;
г) поляры при взлетной конфигурации с учетом влияния земли;
д) поляры для крейсерских режимов полета;
е) зависимости аэродинамического качества от угла атаки и подъемной силы для всех построенных поляр.
На чертеже со схемой указываются тип и взлетная масса самолета, крейсерская скорость и высота полета, тип, количество и тяга двигателей, размах крыла, длину фюзеляжа, а также максимальное аэродинамическое качество на крейсерском и взлетном режимах.
Аэродинамическую схему самолета вычерчивают в масштабе, позволяющем подробно изобразить отдельные детали (элементы механизации крыла, гондолы двигателей и пр.) для дальнейшей оценки их линейных размеров и площадей. Чертеж выполняют на листе ватмана формата А1.
На основании аэродинамической схемы составляют таблицу основных геометрических данных самолета (табл. 1).
При составлении таблицы необходимо четко усвоить основные определения, касающиеся геометрических характеристик крыла. Так, например, необходимо учесть, что площадь крыла Sкр. включает подфюзеляжную часть Sп.ф. и часть, занятую гондолами двигателей Sг.д.. Для горизонтального оперения в площадь Sг.о. также включается подфюзеляжная часть. В отличие от этого, площадь вертикального оперения Sв.о. рассчитывается как «чистая» в проекции на вертикальную плоскость.
Относительная толщина профиля выбирается в соответствии со статистикой. Так, тонкие профили c о , задней 15 .. 30 о , при посадке передней 25 .. 35 о , задней 30 .. 60 о .
Относительная толщина оперения, как правило, на 0.01 .. 0.04 меньше, чем у крыла.
Расстояние от крыла до земли при посадке и взлете приближенно определяют по чертежу как расстояние от нижней точки крыла посередине полуразмаха до поверхности земли в стояночном положении самолета. Фрагмент чертежа с указанными положениями закрылков и крыла в разрезе приводится в записке и на листе с проекциями самолета.
В табл. 1 сведены геометрические характеристики основных элементов самолета. В отдельных случаях таблица должна быть дополнена.
Если на фюзеляже самолета установлены гребни, то следует определить их основные размеры и внести в таблицу. При наличии гондол шасси, подкосов крыла, деталей неубирающихся шасси, внешних баков и др. их геометрические размеры так же вносят в табл. 1.
Если форма деталей близка к удобообтекаемой (гондола шасси, топливный бак), ее геометрические характеристики составляются аналогично характеристикам фюзеляжа. В случае плоской формы детали, располагаемой вдоль потока (гребни, шайбы, оперения и пр.), ее геометрические характеристики определяются аналогично характеристикам крыла.
Если на самолете имеются детали неудобообтекаемой формы (колеса неубирающегося шасси, радиатор, детали спецоборудования и пр.), геометрической характеристикой деталей следует считать площадь миделевого сечения (обычно к этой площади относят силу лобового сопротивления плохообтекаемых тел при определении коэффициента сопротивления).
формула
мощность одного двигателя
No
л.с.
Доверчивость — мать недоверия. Адриан Декурсель
ещё >>
Курсовая работа: Расчёт аэродинамических характеристик самолёта T-30 KATANA
| Название: Расчёт аэродинамических характеристик самолёта T-30 KATANA Раздел: Рефераты по физике Тип: курсовая работа Добавлен 06:24:33 27 декабря 2010 Похожие работы Просмотров: 1142 Комментариев: 18 Оценило: 3 человек Средний балл: 4.7 Оценка: неизвестно Скачать | |||||||||||||||||||||||||||||||||||||||||||||||||||||||||||||||||||||||||||||||||||||||||||||||||||||||||||||||||||||||||||||||||||||||||||||||||||||||||||||||||||||||||||||||||||||||||||||||||||||||||||||||||||||||||||||||||||||||||||||||||||||||||||||||||||||||||||||||||||||||||||||||||||||||||||||||||||||||||||||||||||||||||||||||||||||||||||||||||||||||||||||||||||||||||||||||||||||||||||||||||||||||||||||||||||||||||||||||||||||||||||||||||||||||||||||||||||||||||||||||||||||||||||||||||||||||||||||||||||||||||||||||||||||||||||||||||||||||||||||||||||||||||||||||||||||||||||||||||||||||||||||||||||||||||||||||||||||||||||||||||||||||||||||||||||||||||||||||||||||||||||||||||||||||||||||||||||||||||||||||||||||||||||||||||||||||||||||||||||||||||||||||||||||||||||||||||||||||||||||||||||||||||||||||||||||||||||||||||||||||||||||||||||||||||||||||||||||||||||||
| Элемент самолета, параметр | Размерность | Обозначение, формула | Значение | |
| 1 | 2 | 3 | 4 | |
| 1. Крыло: | ||||
| 1.1 Размах/ размах его консолей | мм | l/ lk = l- Dф | 7,70/6,77 | |
| 1.2 Площадь | м 2 | S | 10,60 | |
| 1.3 Хорда средняя | мм | B= S/ l | 1,38 | |
| 1.4 Хорда центральная | мм | b0 | 1,82 | |
| 1.5 Хорда концевая | мм | bк | 0,89 | |
| 1.6 Сужение в плане | ηb = b0 / bк | 2,04 | ||
| 1.7 Относительная толщина профиля центрального | ![]() | 0,20 | ||
| 1.8 Относительная толщина профиля концевого | ![]() | 0,12 | ||
| 1.9 Средняя относительная толщина профиля | = ( ∙ ηb + ) / (ηb + 1) | 0,17 | ||
| 1.10 Относительная координата максимальной толщины | град. | ![]() | ||
| 1.12 Относительная кривизна профиля | % | ![]() | 1,5 | |
| 1.13 Относительная координата кривизны профиля | ![]() | 0,28 | ||
| 1.14 Угол закрутки концевого сечения | град. | ![]() | 3 | |
| 1.15 Угол атаки нулевой подъемной силы | град. | ![]() | -2,77 | |
| 1.16 Стреловидность по линии 1/4 хорд | град. | 1/4 | ||
| 1.17 Стреловидность по линии 1/2 хорд | град. | 1/2 | -3,8 | |
| 1.18 Стреловидность по передней кромке | град. | п.к | +3,2 | |
| 1.19 Удлинение крыла и консолей крыла геометрические | ||||
| 1.20 Относительная площадь крыла, занимаемая фюзеляжем | 0,155 | |||
| 1.21 Относительная площадь крыла, занимаемая гондолами двигателей. | — | |||
| 1.22 Относительная площадь крыла, занимаемая гондолами шасси | г.ш. = Sг.ш. /S | — | ||
| 1.23 Относительная площадь не участвующая в обтекании потоком | 0,155 | |||
| 1.24 Множитель | kэл | 1 | ||
| 1.25 Удлинение эффективное | λэф = λ * Кχ /(1+ ) | 4,84 | ||
| 1.26 Производная подъемной силы по углу атаки | 1/град | = ![]() | 0,077 | |
| 1.27 Относительная координата точки перехода ламинарного пограничного слоя в турбулентный | ![]() | 0,186 | ||
| 1.28 Расстояние от крыла до земли при взлёте и посадке | м | h | 1,22 | |
| 2. Закрылок: | ||||
| 2.1 Относительная хорда | ![]() | 0,35 | ||
| 2.2 Размах | м | lзк | 5,14 | |
| 2.3 Относительная площадь крыла, обслуживаемая закрылками | ![]() | 0,58 | ||
| 2.4 Угол отклонения при взлете | град. | δвз | 20 | |
| 2.5 Угол отклонения при посадке | град. | δпос | 40 | |
| 2.6 Хорда средняя крыла с выпущенными закрылками | м | bср.зк | 1,20 | |
| 2.7 Угол стреловидности по передней кромке закрылка | град. | χзк.п | -6,1 | |
| 3. Предкрылок: отсутствует | ||||
| 3.1 Относительная хорда | ![]() | — | ||
| 3.2 Относительная площадь крыла, обслуживаемая предкрылками | ![]() | — | ||
| 4. Горизонтальное оперение (ГО) | ||||
| 4.1 Хорда средняя | м | = Sго / lго | 0,91 | |
| 4.2 Относительная толщина | м | го | 0,14 | |
| 4.3 Размах ГО | м | lго | 3,00 | |
| 4.4 Площадь,относительная площадь | м 2 / 1 | Sго / го =Sго/ S | 2,73/0,26 | |
| 4.5 Удлинение | λго = /Sго | 3,30 | ||
| 4.6Стреловидность по линии ¼ хорд | град | χ 1/4го | -0,3 | |
| 4.7 Относительная площадь ГО, занятая фюзеляжем | 0,072 | |||
| 5. Вертикальное оперение (ВО) | ||||
| 5.1Площадь,относительная площадь | м 2 ; 1 | Sво ; во = Sво / S | 1,29 ; 0,12 | |
| 5.2 Размах | м | lво | 1,1 | |
| 5.3 Хорда средняя | м | = Sво / lво | 1,2 | |
| 5.4 Относительная толщина | м | го | 0,07 | |
| 6. Шайбы, пилоны, гребни и т.п. — отсутствуют | ||||
| 6.1 Хорда средняя пилонов | м | = Sп / lп | — | |
| 6.2 Относительная толщина пилона | п | — | ||
| 6.3 Площадь | м 2 | Sп | — | |
| 7. Фюзеляж | ||||
| 7.1 Длина | м | lф | 5,45 | |
| 7.2 Площадь миделя | м 2 | ![]() | 0,83 | |
| 7.3 Диаметр миделя | м | ![]() | 1,02 | |
| 7.4 Удлинение | λф = lф / ![]() | 5,35 | ||
| 7.5 Длина носовой части | м | lн.ф | 1,20 | |
| 7.6 Удлинение носовой части | λн.ф = lн.ф / ![]() | 1,18 | ||
7.7Отношение к площади крыла | ф . м = / S | 0,078 | ||
| 7.8 Длина кормовой части | м | lк.ф | 2,03 | |
| 7.9 Удлинение кормовой части | λк.ф = lк.ф / ![]() | 2,00 | ||
| 7.10 Площадь кормовой части | м 2 | ![]() | 0,26 | |
| 7.11 Сужение кормовой части | ηк.ф = /![]() | 0,31 | ||
| 7.12 Угол возвышения кормовой части | град | βк.ф | ||
| 7.13 Расстояние от оси фюзеляжа до хорды крыла | м | ук | +0,72 | |
| 8. Гондола двигателя — нет | ||||
| 9. Воздушный винт | ||||
| 9.1 Диаметр | м | DB | 1,85 | |
| 9.2 Расстояние от плоскости винта до ¼ хорды крыла по оси двигателя | м | хВ | 1,4 | |
| 9.3 Площадь, ометаемая винтом | м 2 | SOM =πDB 2 /4 | 2,69 | |
| 9.4 Относительная площадь крыла, обдуваемая винтом | м 2 | 0,1 | ||
| 9.5 Относительная площадь ГО, обдуваемая винтом | м 2 | ГО . обд = SГО.обд /S | 0,15 | |
| 10. Общие данные | ||||
| 10.1 Взлётная масса самолёта | кг | m0 | 880 | |
| 10.2 Расчетная скорость полета | км/ч | V | 365 | |
| 10.3 Расчетная высота полета | км | H | 2,5 | |
| 10.4 Тип и количество двигателей | n | 1 проп. дв. | ||
| 10.5 Стартовая тяга (мощность) одного двигателя при V=0, H=0 | ||||
| 10.6 Среднее за полет аэродина- мическое качество рассматриваемого самолета | К | |||
| 10.7 Относительная масса топлива | т = mт / m0 | 0,2 | ||
2. Расчёт и построение зависимостей cya (α) для различных режимов полёта
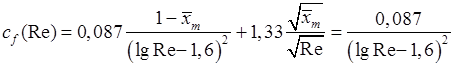
2.1 Расчёт и построение зависимости критического числа Маха от коэффициента подъёмной силы Мкр (суа )
Эта зависимость задаётся формулой:
Рисунок 2 — Зависимость критического числа Маха от режима полёта
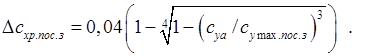
2.2 Расчёт и построение вспомогательной зависимости суа (α)
Эта зависимость строится для полёта на нулевой высоте при отсутствии экранного эффекта с убранными средствами механизации крыла на минимальной скорости полёта, которая находится по следующей формуле:
Ей соответствует число Маха:
Удлинение крыла данного самолёта достаточно велико (λ>4), и поэтому для нахождения теоретического наибольшего значения коэффициента подъёмной силы можно применить формулу:
Определяем три точки для построения графика суа (α):
И строим по этим трём точкам график зависимости коэффициента подъёмной силы от угла атаки, аппроксимируя её параболой в области больших углов атаки (рисунок 3 и рисунок 4, кривая 1).
Рисунок 3 — Вспомогательная зависимость коэффициента подъёмной силы от угла атаки.
2.3 Расчёт и построение взлётных кривых суа (α)
1) Во взлётном режиме закрылки выпущены под углом:
Зная данную величину, а также относительную хорду закрылков 
То есть на взлёте этот угол равняется:
Теперь можно найти приращение максимального значения коэффициента подъёмной силы из-за выпущенных закрылков по формуле:
где 

Зная данную величину, а также относительную площадь крыла, обдуваемую винтом, 

Теперь можно вычислить максимальное значение коэффициента подъёмной силы во взлётной конфигурации без учёта экранного эффекта земли:
Исходя из найденных значений 

2) Учтём теперь влияние экрана земли, которое вносит такую поправку в коэффициент подъёмной силы:
А максимальное значение коэффициента подъёмной силы во взлётной конфигурации с учётом экранного эффекта земли равно:
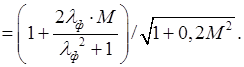
Находим фиктивное удлинение крыла, учитывающее влияние земли:
Тогда производная коэффициента подъёмной силы по углу атаки с учётом экранного эффекта равна:
Используя найденные значения 
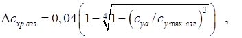
2.4 Расчёт и построение посадочных кривых суа (α)
1) Во время посадки закрылки выпущены под углом:
Зная данную величину, а также относительную хорду закрылков 
То есть на посадке этот угол равняется:
Теперь можно найти приращение максимального значения коэффициента подъёмной силы из-за выпущенных закрылков по формуле:

На посадке винт не влияет на подъёмную силу крыла. Тогда максимальное значение коэффициента подъёмной силы во взлётной конфигурации без учёта экранного эффекта земли равно:
Исходя из найденных значений 

А максимальное значение коэффициента подъёмной силы в посадочной конфигурации с учётом экранного эффекта земли равно:
Используя найденные значения 
2.5 Расчёт и построение крейсерских зависимостей cya (α)
Высота полёта расчётная Н=2500 м, скорость звука на этой высоте равна аН =330,6 м/с . Скорость полёта расчётная V=101,4 м/с , при этом число Маха равно:
Самолёт находится в полётной конфигурации, то есть закрылки убраны. При этом для различных чисел Маха зависимость cya (α) задаётся формулой:
Сводим в таблицу 2 параметры этой зависимости для нескольких чисел Маха.
| М | 0,00 | Мрасч =0,31 | 0,40 | 0,50 | 0,60 |
![]() | 0,078 | 0,082 | 0,085 | 0,090 | 0,097 |
![]() | 0,603 | 0,634 | 0,658 | 0,696 | 0,754 |
И по этим данным строим крейсерские зависимости cya (α) (рисунок 5).
3. Расчёт и построение поляр самолёта
3.1 Расчёт и построение вспомогательной поляры
1) При построении данной поляры принимают, что закрылки убраны, высота полёта нулевая, экранный эффект отсутствует, скорость полёта минимальна (М=Мmin ).
2) Для нахождения профильного сопротивления фюзеляжа, сначала вычислим его число Рейносльдса:
Поскольку воздушный винт находится спереди, то весь фюзеляж обдувается турбулентным потоком, т.е. 
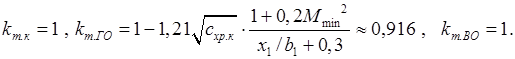
Коэффициенты, учитывающие вклад сил давления и эффекта сжимаемости в профильное сопротивление, вычисляются так:
Профильное сопротивления фюзеляжа как тела вращения определяют по формуле:
Далее учитываются конструктивные особенности фюзеляжа путём определения приращения коэффициента профильного сопротивления:а) из-за сужения кормовой части:

б) из-за её скошенности:

в) под влиянием фонаря кабины:

г) от установленного в носовой части ПД воздушного охлаждения:
Итак, коэффициент профильного сопротивления фюзеляжа равен:

Вычислив его для
получаем: 
3) Для расчёта профильного сопротивления крыла найдём сначала его число Рейнольдса:

Коэффициенты, учитывающие вклад сил давления и эффекта сжимаемости в профильное сопротивление, вычисляются так:
Коэффициент профильного сопротивления крыла находится так:
и равен 
4) Для расчёта профильного сопротивления стабилизатора найдём сначала его число Рейнольдса:

Коэффициенты, учитывающие вклад сил давления и эффекта сжимаемости в профильное сопротивление, вычисляются так:
Коэффициент профильного сопротивления стабилизатора находится так:
и равен 
5) Для расчёта профильного сопротивления киля найдём сначала его число Рейнольдса:
Коэффициенты, учитывающие вклад сил давления и эффекта сжимаемости в профильное сопротивление, вычисляются так:
Коэффициент профильного сопротивления киля находится так:
и равен 
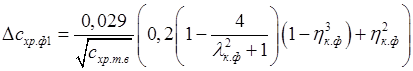
6) Рассматриваемый самолёт является среднепланом. Коэффициент интерференции для крыла и фюзеляжа среднеплана равен 
7) Стабилизатор установлен вверху кормовой части фюзеляжа, а значит, коэффициент их интерференции равен 
для М=Мmin и Н=0 .8) Учтя вклад всех местных источников сопротивления: антенны, выхлопных патрубков, стыков между листами обшивки, щелей между крылом (оперением) и управляющими поверхностями — получаем следующее приращение к коэффициенту сопротивления, не зависящее от М, Н, и α:
9) Вспомогательная поляра строится при отсутствии тяги двигателя. При этом коэффициенты торможения потока для крыла, стабилизатора и киля равны:

Итак, коэффициент профильного сопротивления равен:
Коэффициент сопротивления при нулевой подъёмной силе равен:
11) Рассчитаем теперь индуктивное сопротивление самолёта, для чего найдём коэффициент отвала поляры:
При М=Мmin : 
Коэффициент индуктивного сопротивления зависит от коэффициента подъёмной силы следующим образом:
12) Приращение коэффициента сопротивления с увеличением угла атаки (подъёмной силы) оценивается следующим выражением:
Итак, теперь можно найти коэффициент лобового сопротивления:
Шасси данного самолёта является неубирающимся, поэтому его воздушное сопротивление (по статистике 



По данным этой таблицы строятся график вспомогательной зависимости 

![]() | -2,77 | -2 | 0 | 2 | 4 | 6 | 8 | 10 | 12 | 14 | 16,73 |
![]() | 0 | 0,060 | 0,215 | 0,370 | 0,525 | 0,680 | 0,836 | 0,991 | 1,145 | 1,259 | 1,315 |
![]() | 0 | 0,000 | 0,000 | 0,000 | 0,001 | 0,001 | 0,003 | 0,005 | 0,009 | 0,016 | 0,040 |
![]() | 0 | 0,000 | 0,003 | 0,009 | 0,019 | 0,031 | 0,047 | 0,067 | 0,089 | 0,107 | 0,117 |
![]() | 0,041 | 0,041 | 0,044 | 0,050 | 0,060 | 0,074 | 0,091 | 0,112 | 0,139 | 0,164 | 0,198 |
Рисунок 3.1 — построение вспомогательной поляры
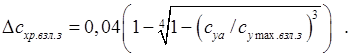
3.2 Расчёт и построение взлётных поляр
1) При построении данных поляр принимают, что закрылки выпущены под углом 20 О , высота полёта нулевая, скорость полёта минимальна (М=Мmin ). 2 — 8) Все промежуточные величины, вычисленные в пунктах 2 — 8 при построении вспомогательной поляры (раздел 3.1), вычисляются по тем же формулам и имеют то же численное значение и во взлётном режиме.9) Для учёта вклада обдувки самолёта винтом в лобовое сопротивление найдём коэффициент нагрузки винта по тяге во взлётном режиме:
При этом коэффициенты торможения потока для крыла, киля и стабилизатора равны:
Коэффициент дополнительного сопротивления из-за обдува части крыла винтом определяется по формуле:

Итак, коэффициент профильного сопротивления равен:
Коэффициент сопротивления при нулевой подъёмной силе равен:
11) Без учёта экрана земли коэффициент отвала поляры рассчитывается по тем же формулам и имеет то же численное значение, что и при расчёте вспомогательной поляры (раздел 3.1, пункт 11): 
Итак, коэффициент индуктивного сопротивления без учёта и с учётом экранного эффекта ищется по формулам:
12) Приращение коэффициента сопротивления с увеличением угла атаки (подъёмной силы) оценивается следующим выражениями (без учёта и с учётом экранного эффекта):
13) Выпущенные на 20 О при взлёте закрылки увеличивают коэффициент сопротивления на величину:
где 
Вычислим 


![]() | -9,67 | -6 | -3 | 0 | 3 | 6 | 8 | 10 | 12 | 14 | 15,07 |
![]() | 0 | 0,285 | 0,518 | 0,750 | 0,983 | 1,218 | 1,371 | 0,991 | 1,515 | 1,662 | 1,669 |
![]() | 0 | 0,000 | 0,000 | 0,001 | 0,002 | 0,005 | 0,007 | 0,005 | 0,012 | 0,027 | 0,039 |
![]() | 0 | 0,005 | 0,018 | 0,038 | 0,065 | 0,100 | 0,127 | 0,067 | 0,155 | 0,187 | 0,188 |
![]() | 0,111 | 0,116 | 0,129 | 0,150 | 0,179 | 0,215 | 0,245 | 0,112 | 0,278 | 0,325 | 0,339 |
Вычислим 


![]() | -9,67 | -8 | -6 | -4 | -2 | 0 | 2 | 4 | 6 | 8 | 9,62 |
![]() | 0 | 0,155 | 0,340 | 0,525 | 0,711 | 0,896 | 1,081 | 1,267 | 1,433 | 1,530 | 1,491 |
![]() | 0 | 0,000 | 0,000 | 0,000 | 0,001 | 0,002 | 0,004 | 0,007 | 0,013 | 0,021 | 0,039 |
![]() | 0 | 0,001 | 0,004 | 0,008 | 0,015 | 0,024 | 0,036 | 0,049 | 0,063 | 0,071 | 0,074 |
![]() | 0,111 | 0,112 | 0,115 | 0,120 | 0,128 | 0,138 | 0,151 | 0,167 | 0,187 | 0,204 | 0,224 |
3.3 Расчёт и построение посадочных поляр
1) При построении данных поляр принимают, что закрылки выпущены под углом 40 О , высота полёта нулевая, скорость полёта минимальна (М=Мmin ). 2 — 10) При посадке двигатель работает на очень слабом или холостом ходу, и поэтому вкладом обдувки от воздушного винта в сопротивление можно пренебречь. Поэтому все промежуточные величины, вычисленные в пунктах 2 — 10 при построении вспомогательной поляры (раздел 3.1), вычисляются по тем же формулам и имеют то же численное значение и в посадочном режиме. В итоге:
11) Индуктивное сопротивление и с учётом, и без учёта экранного эффекта задается одними и теми же формулами в посадочном и во взлётном (раздел 3.2, пункт 11) режимах.
12) Приращение коэффициента сопротивления с увеличением угла атаки (подъёмной силы) оценивается следующим выражениями (без учёта и с учётом экранного эффекта):
13) Выпущенные на 40 О при посадке закрылки увеличивают коэффициент сопротивления на величину:
где 
Вычислим 


![]() | -14,8 | -11 | -8 | -5 | -3 | -1 | 1 | 4 | 7 | 9 | 12,45 |
![]() | 0 | 0,295 | 0,528 | 0,761 | 0,916 | 1,071 | 1,226 | 1,459 | 1,677 | 1,774 | 1,839 |
![]() | 0 | 0,000 | 0,000 | 0,001 | 0,001 | 0,002 | 0,003 | 0,006 | 0,012 | 0,017 | 0,040 |
![]() | 0 | 0,006 | 0,019 | 0,039 | 0,057 | 0,077 | 0,102 | 0,144 | 0,190 | 0,213 | 0,228 |
![]() | 0,180 | 0,186 | 0,199 | 0,220 | 0,238 | 0,260 | 0,285 | 0,330 | 0,382 | 0,410 | 0,448 |
Вычислим 


![]() | -14,8 | -12 | -10 | -8 | -6 | -4 | -2 | 0 | 2 | 4 | 6,44 |
![]() | 0 | 0,260 | 0,445 | 0,630 | 0,816 | 1,001 | 1,186 | 1,372 | 1,547 | 1,662 | 1,712 |
![]() | 0 | 0,000 | 0,000 | 0,001 | 0,001 | 0,002 | 0,004 | 0,007 | 0,011 | 0,018 | 0,040 |
![]() | 0 | 0,002 | 0,006 | 0,012 | 0,020 | 0,031 | 0,043 | 0,057 | 0,073 | 0,084 | 0,089 |
![]() | 0,180 | 0,182 | 0,186 | 0,193 | 0,202 | 0,213 | 0,227 | 0,244 | 0,264 | 0,283 | 0,309 |
Рисунок 4 — Вспомогательные, взлётные и посадочные зависимости суа (α) и поляры самолёта.
3.4 Расчёт и построение крейсерских поляр
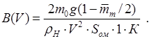
1) Высота полёта расчётная Н=2500 м , скорость звука на этой высоте равна аН =330,6 м/с , кинематическая вязкость воздуха равна νН =1,79*10 -5 м 2 /с . Самолёт находится в полётной конфигурации, то есть закрылки убраны. 2 — 8, 11, 12) Все промежуточные величины, вычисленные в пунктах 2 — 8, 11, 12 раздела 3.1, и здесь вычисляются по тем же формулам для различных чисел Маха. А при М=0 числа Рейнольдса, входящие в эти формулы, вычисляются для расчётной скорости V=101 м/с . 9,10) В крейсерском режиме полёта коэффициент нагрузки винта по тяге равен:
Величины, вычисленные в пунктах 9, 10 раздела 3.2, и здесь вычисляют по тем же формулам, подставляя в них данное значение B(V), для различных чисел Маха (скоростей).Результаты расчёта для различных чисел Маха и суа сводим в таблицу:
| М | 0,0 | 0,3 | 0,4 | 0,5 | 0,6 | |||||
| схо | 0,025 | 0.028 | 0.027 | 0.027 | 0.027 | |||||
| суа | схi | сха | схi | сха | схi | сха | схi | сха | схi | сха |
| 0,0 | 0 | 0,037 | 0 | 0,042 | 0 | 0,041 | 0 | 0,041 | 0 | 0,041 |
| 0,1 | 0,001 | 0.038 | 0,001 | 0.043 | 0,001 | 0.042 | 0,001 | 0.042 | 0,001 | 0.042 |
| 0,2 | 0,003 | 0,040 | 0,003 | 0,045 | 0,003 | 0,044 | 0,003 | 0,044 | 0,003 | 0,044 |
| 0,3 | 0,006 | 0.043 | 0,006 | 0.048 | 0,006 | 0.047 | 0,006 | 0.047 | 0,006 | 0.047 |
| 0,4 | 0.011 | 0.048 | 0.011 | 0.053 | 0.011 | 0.052 | 0.011 | 0.052 | 0.011 | 0.052 |
| 0,5 | 0.017 | 0.054 | 0.017 | 0.059 | 0.017 | 0.058 | 0.017 | 0.058 | 0.017 | 0.058 |
| 0,6 | 0.024 | 0.062 | 0.024 | 0.067 | 0.024 | 0.066 | 0.024 | 0.066 | 0.024 | 0.066 |
| 0,7 | 0.033 | 0.072 | 0.033 | 0.077 | 0.033 | 0.076 | 0.033 | 0.076 | 0.033 | 0.076 |
| 0,8 | 0.043 | 0.083 | 0.043 | 0.088 | 0.043 | 0.087 | 0.043 | 0.087 | 0.043 | 0.087 |
| 0,9 | 0.054 | 0,095 | 0.055 | 0,100 | 0.055 | 0,099 | 0.055 | 0,099 | 0.055 | 0,099 |
| 1,0 | 0.067 | 0.110 | 0.068 | 0.115 | 0.068 | 0.114 | 0.068 | 0.114 | 0.068 | 0.114 |
| 1,1 | 0.081 | 0.126 | 0.082 | 0.131 | 0.082 | 0.130 | 0.082 | 0.130 | 0.082 | 0.130 |
| 1,2 | 0.096 | 0.146 | 0.097 | 0.151 | 0.097 | 0.150 | 0.097 | 0.150 | 0.097 | 0.150 |
| 1,315 | 0.116 | 0.187 | 0.117 | 0.192 | 0.117 | 0.191 | 0.117 | 0.191 | 0.117 | 0.191 |
Рисунок 5 — Крейсерские поляры и зависимости суа (α).
1. Остовлавский И.В. Аэродинамика самолёта. — М.: Оборонгиз, 1957.
2. Меньшиков В.И. Аэродинамические характеристики самолётов: Учебное пособие. — Харьков: Харьк. Авиац. Ин-т, 1984.
3. Мхитарян А.М. Аэродинамика. — М.: Машиностроение, 1976.
Определение геометрических размеров крыла
Выбор профиля крыла
Крыло является основной частью самолета, и от выбора его геометрических размеров в высшей степени зависят параметры всего СЛА.
Под геометрическими размерами крыла подразумевается его площадь S, размах l, удлинение 



Влияние на аэродинамические характеристики крыла оказывает выбор его профиля. При этом необходимо учитывать: с одной стороны — назначение СЛА и предполагаемый диапазон скоростей его полета, с другой — прочностные свойства крыла и технологические возможности.
С точки зрения аэродинамики наиболее выгодным является профиль, имеющий высокое значение коэффициента подъемной силы Су на больших углах атаки крыла и высокое аэродинамическое качество К. на умеренных углах. Высокое значение Су позволяет при заданной площади крыла уменьшить скорости взлета и посадки самолета, а высокое качество обеспечивает максимальную скорость полета при заданной мощности двигателя. Мощность двигателя и качество самолета определяют и такую важную характеристику, как скороподъемность (вертикальная скорость набора высоты после взлета).
Наиболее широкое применение на СЛС находят хорошо зарекомендовавшие себя профили P-II .(рис. 1.2)
Рис. 1.2 Поляра и координаты профиля P-II-18
и P-III (рис. 1.3)
Рис. 1.3 Поляра и координаты профиля P-III-15
и другие с относительной толщиной 12. 20%.
В последнее время начали применяться планерные ламинаризированные профили с очень высоким аэродинамическим качеством. Однако это качество может быть достигнуто только при достаточно высокой чистоте поверхности крыла.
Если в техническом задании есть требование получения максимальной скорости при хороших взлетно-посадочных характеристиках самолета, то необходимо применить взлетно-посадочную механизацию крыла в виде закрылков, предкрылков, зависающих элеронов. Закрылки могут быть простыми, однощелевыми, многощелевыми, выдвижными.
Щитки на СЛА обычно не применяются из-за резкого ухудшения аэродинамического качества крыла при сравнительно небольшом увеличении коэффициента подъемной силы.
Аэродинамические характеристики механизированных крыльев с взлетно-посадочной механизацией приведены в табл. 1.3.
Таблица 1.3 Аэродинамические характекристики механизированных крыльев
Следует иметь в виду, что указанные в табл. 1.3 приращения коэффициента подъемной силы будут иметь место в том случае, если механизация расположена по всему размаху крыла. Обычно она занимает только часть размаха, в этом случае приращение коэффициента максимальной подъемной силы и коэффициента сопротивления от механизации при оптимальных углах отклонения механизации приближенно можно определить по формулам:

Для значительного увеличения коэффициента подъемной силы на режимах взлета и посадки, при сохранении достаточно высокого аэродинамического качества на крейсерских режимах, но только для скоростных СЛС, может быть рекомендован профиль крыла GA(W)-1, координаты и аэродинамические характеристики которого соответственно представлены в табл. 1.4. и на рис. 1.4.
Таблица 1.4 Координаты профиля GA(W)-1
Рис 1.4 Поляры профиля GA(W)-1 при различных углах отклонения закрылка
Достоинством данного профиля является и то, что он обеспечивает достаточно плавный срыв потока с убранной механизацией на закритических углах атаки.
При выборе механизации необходимо учитывать, что все виды механизации (кроме предкрылка): во-первых, ухудшают аэродинамическое качество СЛА, а значит, требуют большей мощности двигателя; во-вторых, приводят к усложнению конструкции и увеличению массы крыла; в-третьих, снижают надежность СЛА.
Поэтому, несмотря на значительный выигрыш в уменьшении площади крыла, во многих случаях применение механизации на СЛА оказывается нецелесообразным.
Относительная толщина профиля выбирается в пределах 14. 22%. Уменьшение относительной толщины ниже 14% нецелесообразно из-за уменьшения строительной высоты крыла, а значит, увеличения массы лонжеронов (прежде всего его полок). Кроме того, уменьшаются несущие свойства крыла, особенно на малых скоростях полета.
Крылья с относительной толщиной профиля более 18. 22% уступают по аэродинамическим характеристикам более тонким профилям из-за увеличения их лобового сопротивления. Причем это ухудшение характеристик не может быть компенсировано уменьшением веса крыла, так как при очень больших строительных высотах площадь поперечного сечения: полок лонжеронов определяется не из условия прочности, а из «конструктивных соображений», в то время как вес стенок растет.
Наиболее выгодными можно считать профили с переменной относительной толщиной — 18. 20% у корневой нервюры и 10. 14% у концевой нервюры консоли крыла. Однако изготовление такого крыла вызывает большие технологические трудности. Исключение составляют моноблочные крылья, в конструкции которых в качестве наполнителя используется пенопласт.
Определение площади крыла
Площадь крыла является одним из наиболее характерных размеров самолета. Она определяет большинство размеров самолета, технических, весовых и геометрических параметров СЛА.
Уменьшение площади, а значит, и массы крыла, оказывает существенное влияние на уменьшение массы всего СЛА, но, как правило, требует большей мощности двигателя.
Минимально возможная площадь крыла определяется из условия обеспечения заданной скорости отрыва самолета при взлете.
Подъемную силу, создаваемую крылом в момент отрыва самолета, можно определить по формуле
а так как подъемная сила в момент отрыва самолета примерно равна его весу, то, подставив в уравнение (1.8) вместо подъемной силы Y вес самолета Go и решив уравнение относительно S, получим
Если крыло механизации не имеет или при взлете она не используется, то
Коэффициент при Су mаx, равный 0,8, вводится с учетом того, что, во-первых, подъемная сила горизонтального оперения самолета, выполненного по нормальной схеме, направлена вниз и вычитается из подъемной силы крыла; во-вторых, необходим некоторый запас по углу атаки крыла для предотвращения срыва потока при случайном увеличении угла атаки вследствие вертикальных порывов или ошибок летчика.
Выбор площади крыла при заданном весе самолета однозначно определяет такой характерный параметр, как удельная нагрузка на крыло Go/S. Для большинства СЛА, выполненных по самолетной схеме, она находится в пределах 20. 50 кгс/м2. Чем больше значение отношения Go/S, тем труднее обеспечить заданные значения скоростей отрыва посадки самолета.
Для приближенных расчетов удельную нагрузку на крыло по заданной скорости отрыва можно выбрать по графику на рис. 1.6.
Рис 1.6 Зависимость удельной нагрузки на крыло от заданной скорости отрыва самолета:
1 — без механизации, 2 — простой закрылок, 3 — выдвижной закрылок, 4 — выдвижной многощелевой закрылок
Выбор удлинения крыла
Важным безразмерным параметром крыла является его удлинение — отношение размаха крыла к
При выборе удлинения крыла следует учитывать, что значение именно этого параметра оказывает наиболее сильное влияние на его аэродинамическое качество. Чем больше удлинение крыла, тем выше аэродинамическое качество крыла, а значит, и СЛА в целом.
Аэродинамическое качество СЛА, в первом приближении, можно определить, воспользовавшись графиком, представленным на рис. 1. 7.
Рис 1.7 К выбору удлинения крыла:
1 — рекордные планеры с ламинаризированными профилями, 2 — планеры и мотопланеры, 3 — сверхлегкие самолеты
Увеличение аэродинамического качества К, при сохранении неизменными других характеристик СЛА, позволяет снизить мощность, а значит, и массу силовой установки.
С другой стороны, увеличение удлинения крыла неизбежно вызывает увеличение массы крыла. Это объясняется тем, что при заданной площади S увеличение 
Если СЛА предназначен для длительных полетов, то в расчет необходимо включать и изменение потребной массы топлива.
Оптимальным можно считать такое удлинение крыла, при котором суммарная масса крыла, силовой установки и потребного запаса топлива будет минимальной.
Часто СЛА с заданной максимальной скоростью горизонтального полета проектируются под имеющийся в наличии двигатель. В этом случае минимально необходимое удлинение min определяется, исходя из энергетических возможностей выбранного двигателя.
За 1 с двигатель может выполнить работу по перемещению СЛА, равную (Н*м)
где 


Если максимальная скорость горизонтального полета задана техническим заданием, то потребную тягу двигателя при этой скорости легко определить, воспользовавшись формулой
Так как в установившемся горизонтальном полете потребная тяга двигателя Р равна сопротивлению самолета X, а подъемная сила Y равна весу СЛА Go, то
Минимальное удлинение крыла, обеспечивающее заданное аэродинамическое качество, можно найти, воспользовавшись графиком, представленным на рис. 1.7, считая величину аэродинамического качества К известной и равной Кпотр.
Выбор других параметров, определяющих форму крыла в плане
Сужение крыла (отношение корневой хорды крыла к концевой) оказывает влияние на качество, вес и характеристики устойчивости CЛА, особенно поперечной. Увеличение сужения крыла, благодаря уменьшению индуктивного сопротивления, увеличивает его аэродинамическое качество. При увеличении сужения уменьшается и вес крыла. Однако чрезмерное увеличение сужения ухудшает срывные характеристики крыла (начало срыва смещается на конец крыла), а значит, ухудшает характеристики поперечной устойчивости.
Оптимальные значения сужения крыла 
Вместе с тем при выборе сужения крыла необходимо учитывать трудности технологического характера, связанные с изготовлением крыла. Так, если крыло имеет сужение, не равное единице, то:
- для изготовления каждой нервюры консоли потребуется свой шаблон
- задний лонжерон двухлонжеронного крыла либо будет иметь излом в плоскости симметрии самолета, либо криволинейные полки
- при переменной относительной толщине крыла криволинейными будут и полки основного лонжерона
С учетом вышеизложенного для самолетов любительской постройки лучше: либо принимать сужение равным единице (рис. 1.8),
Рис 1.8 Рекомендуемые формы крыла в плане
либо выполнять сужающимися только отдельные части крыла.
Стреловидность крыла СЛА, выполненного по нормальной схеме, по основному лонжерону целесообразно выполнять равной нулю. Стреловидность по передней кромке крыла при этом не будет превышать 2. 3°.
Большую стреловидность крыла могут иметь СЛА типа «летающее крыло», «бесхвостка» и другие СЛА оригинальных схем.
Отрицательную стреловидность крыла использовать нецелесообразно из-за большой трудности обеспечения достаточной жесткости крыла на кручение.
Выбор места расположения и геометрических размеров элеронов
Для увеличения эффективности элеронов их стремятся разнести как можно дальше от продольной оси самолета. Если элероны расположены на концах крыла (рис. 1.9),
Рис 1.9 К выбору геометрических размеров элеронов
то их площадь в первом приближении можно определить на основании статистики по формуле
где 

Эффективность элеронов удобнее оценивать, используя величину, называемую коэффициентом момента элеронов. Эту величину можно определить по формуле
где Sэл.э — эффективная площадь элерона — площадь крыла (рис. 1.9), расположенная впереди элерона; aэл — расстояние между центрами «тяжести» эффективных площадей элерона; lэл -размах элерона; bэл — средняя хорда элерона.
На рис. 1.10 представлены графики зависимости коэффициента поперечного момента от угла отклонения элерона 





Рис 1.10 Зависимость коэффициента поперечного момента от угла отклонения элеронов
С учетом этого, приняв 
Если хорда крыла остается постоянной по всему его размаху, то есть 
Малые значения коэффициента mx делают СЛА «вялым» при управлении по крену. Большие — делают управление чрезмерно чувствительным и приводят к быстрой утомляемости пилота. Оптимальными значениями можно считать:
- 0,012. 0,018 — для неманевренных СЛС
- 0,018. 0,024 — для маневренных СЛА
Указанные значения mx целесообразно увеличить на 0,003. 0,005 для СЛА с верхним расположением крыла или большими углами поперечного V крыла. Потребность увеличения может возникнуть и при возросшем моменте инерции СЛА вследствие разноса масс вдоль размаха крыла: установки двигателей, топливных баков или оборудования на крыле.
Из-за малых усилий на ручке управления самолетом (РУС) применять аэродинамическую компенсацию элеронов на СЛА нецелесообразно.
Чтобы не допустить флаттер, элероны крыльев больших удлинений должны иметь полную весовую компенсацию.
по материалам: П.И.Чумак, В.Ф Кривокрысенко «Расчет и проектирование СЛА»



= (
∙ ηb +
) / (ηb + 1)
=
/ b




1/4
/(S-Sф )
= Sф / S
г.д. = Sг.д. /S
)
= 





= Sго / lго
го
/Sго
= Sво / lво
= Sп / lп
п



т = mт / m0
































































































































